TX HHS Form H1832. Affidavit for Meal Providers to the Homeless
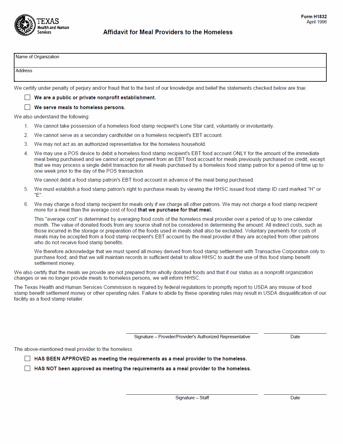
The TX HHS Form H1832, Affidavit for Meal Providers to the Homeless, is a crucial document that helps meal providers comply with federal regulations and guidelines. This form is typically used by organizations that provide meals to homeless individuals, ensuring they meet specific requirements and standards.
This affidavit requires meal providers to certify their compliance with certain conditions, including not taking possession of a homeless food stamp recipient's Lone Star card or serving as a secondary cardholder on an EBT account. Additionally, providers must establish a food stamp patron's right to purchase meals by viewing the HHSC-issued food stamp ID card marked "H" and may only debit a food stamp patron's EBT food account for the immediate meal being purchased.
The form also outlines specific responsibilities and follow-up actions, such as maintaining records in sufficient detail to allow HHSC to audit the use of food stamp benefit settlement money. Failure to abide by these operating rules may result in USDA disqualification of the facility as a food stamp retailer. Key points include:
- Meal providers must not take possession of a homeless food stamp recipient's Lone Star card or serve as a secondary cardholder on an EBT account.
- Providers must establish a food stamp patron's right to purchase meals by viewing the HHSC-issued food stamp ID card marked "H".
- Meal providers may only debit a food stamp patron's EBT food account for the immediate meal being purchased.
- Records must be maintained in sufficient detail to allow HHSC to audit the use of food stamp benefit settlement money.
