TX HHS Form 8585. RN Delegation Worksheet for 22 TAC Chapter 225
Form 8585 is a Delegation Worksheet used by Registered Nurses (RNs) in Texas when evaluating whether specific health-related tasks for individuals with stable and predictable conditions can be delegated to unlicensed personnel under 22 TAC Chapter 225. This form is always completed by an RN and attached to the comprehensive nursing assessment. Its main purpose is to document which tasks require nursing judgment, which may be delegated, and which qualify as Health Maintenance Activities (HMAs) exempt from delegation.
Although the worksheet may look technical, its goal is straightforward: to ensure that every delegated task is safe, appropriate, and legally compliant.
Purpose of the Form
This worksheet is required whenever an RN must determine the appropriate level of care for an individual receiving services in community-based settings, long-term care environments, or similar facilities where unlicensed personnel may perform certain routine or maintenance tasks. The form ensures that the delegation process aligns with Texas law, protects the patient, and clarifies responsibilities for all parties.
Understanding the Key Categories in Form 8585
Nursing Tasks
These tasks require professional nursing judgment and can only be performed by licensed nurses. Examples often include sterile procedures, complex wound care, assessments, and tasks requiring interpretation of medical data. A common mistake is assuming that “routine-looking” tasks can be delegated; if a task involves evaluation, decision-making, or risk of rapid change, it belongs in this category.
Delegated Tasks
Delegated tasks are non-complex nursing services performed by unlicensed personnel after training and ongoing RN supervision. They may include some Activities of Daily Living (ADLs) or Health Maintenance Activities (HMAs) if assessed as complex by the RN. Delegation is allowed only when the individual’s condition is stable and predictable per §225.4(11).
Typical errors:
- Delegating before the RN completes an assessment
- Failing to document the training provided
- Assigning tasks outside the unlicensed person’s competency
Health Maintenance Activities (HMA) Exempt from Delegation
HMAs may be performed without RN supervision if the individual has a designated Client Responsible Adult (CRA) who is knowledgeable and immediately accessible by phone or in person. These tasks must relate to stable and predictable conditions and can include things like routine ostomy care or assistance with prepared medications.
Activities of Daily Living (ADLs)
ADLs are non-complex activities a person typically carries out as part of their daily routine. Examples include dressing, grooming, and transferring. ADLs are usually safe for unlicensed personnel, but the RN must still determine whether the individual’s condition makes any of them complex.
Explanation of Major Form Sections
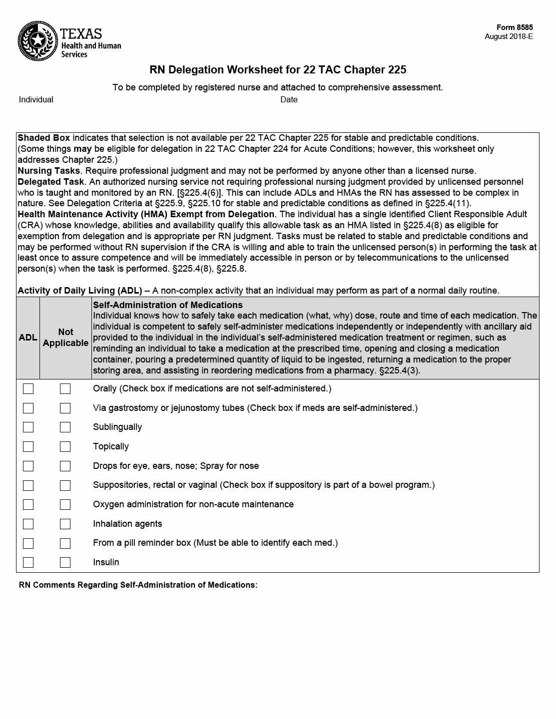
Self-Administration of Medications
This section documents whether the individual can take medications independently. The RN assesses whether the person understands what each medication does, when and how to take it, and whether ancillary assistance (reminders, opening bottles) is needed.
Typical pitfalls include:
- Overestimating the individual's ability to self-identify medications
- Allowing self-administration when the individual cannot recall dosage times
Administration of Medications
When unlicensed personnel give medications, the RN must determine whether delegation is appropriate, following §225.11 for stricter rules (especially for insulin or medications from pill organizers). Tasks may include oral medications, inhalation agents, topical treatments, or rectal/vaginal suppositories.
Additional Health-Related Tasks
These are specific tasks related to daily health needs, such as:
- Tube feeding via G- or J-tube
- Routine trach care and suctioning
- Bowel and bladder programs
- Stoma care
- Collecting and reporting data (vital signs, weight, behavioral notes)
Some of these can be delegated or exempted under certain conditions, but tasks involving sterile technique or potential infection risk must remain nursing-only.
Practical Recommendations for Completing the Form
- Always complete the comprehensive assessment first — delegation decisions depend on it.
- Document specific reasons for each delegation category selected.
- Be conservative when the individual’s condition fluctuates or new symptoms appear.
- For HMAs, verify that the CRA is truly qualified and readily available.
- When delegating medication administration, ensure that training is documented and competency is verified.
Examples of Real-Life Situations Where Form 8585 Is Required
- A long-term care facility resident needs help with routine inhalers, but not with assessment or dosage decisions.
- An adult with developmental disabilities requires tube feeding, and the RN must determine whether trained staff can perform it.
- A home-care client with a stable tracheostomy needs routine suctioning and cleaning.
- An elderly individual can self-administer most medications but needs assistance with insulin under §225.11 rules.
Documents Commonly Attached
- Comprehensive nursing assessment
- Medication administration records (MAR)
- Care plans involving HMAs or ADLs
- Training logs for delegated personnel
- Authorization documentation for the CRA
FAQ
- Who fills out Form 8585? Only a Registered Nurse completing the assessment and delegation decision.
- Is this form required for every individual receiving community-based services? It is required when delegation or HMA exemption is being considered.
- Can insulin administration be delegated? Yes, but only under strict conditions outlined in §225.11.
- Can an unlicensed caregiver provide trach care? Only routine trach care may be delegated, depending on RN judgment.
- Does this form replace a care plan? No, it supplements and supports the care plan with delegation decisions.
- When is a CRA required? When an HMA is exempted from delegation and performed without RN supervision.
Micro-FAQ
- Purpose? To document delegation appropriateness under 22 TAC 225.
- Who completes? Only Registered Nurses.
- Used for? Stable and predictable conditions only.
- Delegation allowed? Yes, after RN assessment and training.
- Self-admin meds? Allowed if the individual is competent.
- CRA required? For HMA exemptions.
- Attachments? Assessment, care plan, training documentation.
- Submitted to? Kept in the individual’s care record, not sent to the state.
Related Forms
- Texas Form 8584 — Delegation Notification
- Texas HHS Care Plan Templates
- Medication Administration Record (MAR) Forms
Form Details
Form Name: Delegation Worksheet for 22 TAC Chapter 225
Form Number: 8585
Region: State of Texas
Latest Revision: August 2018
